卷面分≠合格分!教资笔试90分都不能及格?!
距离教师资格笔试还有 44天 !

下半年教师资格备考已经开启,距10月30日笔试仅【44】天。最近很多备考同学问:
笔试考到多少分才能拿到过?

满分150分,考70分就能过是不是太简单了?
听说很多人卡69分是有内幕吗?
今天,咱们就一起来探讨探讨笔试分数的问题!搞清楚笔试分数的转化规律,才能在备考阶段更有方向性、针对性!
一、卷面分 报告分 合格分
二、报告合格分换算规律
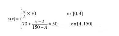
教育部考试中心根据考试标准和当次考试情况,确定各科目全国统一的合格分数线。由于各个科目难度存在差异,其合格分数线不尽相同。为统一各科目的合格分数线,采用线性转换的方法,将考生0~150分量表上的原始成绩换算为0~120分量表上的转换分,并使各科目的合格分数线统一转换为70分。分数转换方法如下:
设某科目原始成绩合格分数线为A(0<A<150),若考生在该科目的原始成绩为 x(0sxs150),则转换分y(X)(0sy(x)≤120)的计算公式为:

举例来说,设两个科目的合格分数线分别为 A1和 A2,则转换分 y(x) 关于原始成绩x的函数图像,如下图所示:

三、考多少分才算合格?
四、教师资格评分准则总的来说,大家卷面估分大于90才是有可能通过的,当然考的分数越高越好了!
综合素质评分标准(中小学通用)
【材料分析题】14分 原则:答题方向、分条罗列、字迹、行文 (1)答题方向正确、分条罗列、字迹美观、行文逻辑清晰(12-14分) (2)答题方向正确、分条罗列且行文逻辑清晰(10-12分) (3)答题方向正确、分条罗列、字迹美观(8-10分) (4)答题方向正确、分条罗列(6-8分) (5)答题方向正确、没有分条罗列,但内容言之有理(2-6分) (6)答题方向正确 【阅读理解】14分 原则:是否按照“原文”进行作答 (1)理解正确、采用原文作答、字迹美观(12-14分) (2)理解正确、采用原文作答(8-12分) (3)缺少“理解正确”、“采用原文作答”、“字迹美观”中的一点或几点则酌情扣分。 【写作】50分 原则:字数、立意、角色、字迹 一类作文(50-38分):字数符合要求,立意明确,以教师角色进行写作的,字迹美观 二类作文(38-25分):字数符合要求,立意明确,以教师角色进行写作的 三类作文(25-10分):字数符合要求,立意明确 四类作文(10-0分):字数不够
中小科目二评分准则
(1)答题方向正确、分条罗列、字迹美观、行文逻辑清晰(16-18分) (2)答题方向正确、分条罗列且行文逻辑清晰(12-16分) (3)答题方向正确、分条罗列、字迹美观(12-8分) (4)答题方向正确、分条罗列(6-8分) (5)答题方向正确、没有分条罗列,但内容言之有理(2-6分) (6)答题方向正确(2分)





